NABARD - NB KS 1 IWR - page 34

23
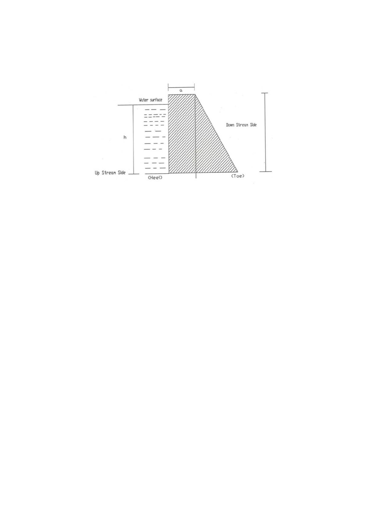
Q - Top of the Dam h - Height of water Column H - Height of the Dam
Fig. 2.1. Section of a Gravity Dam
Forces Acting on Gravity Dam
Te various external forces acting on a gravity dam may be :
1) Water Pressure
2) Uplift Pressure
3) Pressure due to earthquake forces
4) Silt Pressure
5) Wave Pressure
6) Ice Pressure
7) Weight of the dam
While designing a gravity dam these factors are taken into consideration.
Buttress Dam
A buttress dam divides the space to be dammed by a number of
buttresses or piers. The adjacent piers are held by means of horizontal arches
or flat slabs. Buttress dams need less concrete and its height can be increased
subsequently in time of need.
Steel Dam
Steel dams are constructed with framework of steel, but now-a-days they are
used only for construction of coffer dams, usually reinforced with
timber or earthfill, during construction of major permanent dams.
1...,24,25,26,27,28,29,30,31,32,33 35,36,37,38,39,40,41,42,43,44,...151
Powered by FlippingBook