NABARD - Soil Report 2015 - page 96

Dairy-based Livelihoods
71
However, these large dairies quickly set
up a local procurement network and some
of them offered a higher price than the
local dairies to build a local supply base in
order to save on transportation costs from
neighbouring states. Some stakeholders
mention that the lower price offered for
milk in Tamil Nadu and Maharashtra was
partially to procure low and transport to
Telangana. Farmers in Telangana are also
not sure of how long they will get such a
price for.
Even with falling milk procurement
prices in some of the states, the retail price
of milk for consumers has been increasing,
thus improving the margins for different
players in value chain (Figure 4.2). Indian
milk industry’s claim of passing on 80
per cent of consumers’ rupee to the farmers
does not hold true in most cases. Experts
mention that transportation, chilling,
pasteurising, packaging and distribution,
at best cost
`
10 to
`
12 per litre when dair-
ies operate at scale. When the consumer is
charged
`
40 per litre on an average and the
dairy farmer gets
`
23 on an average, there is
a need to study who benefits. Stakeholders
in the Round Table on smallholder dairy
farming advocated strong governance
measures for the industry for ensuring
quality and appropriate pricing, keeping
in mind the well-being of both producers
and consumers.
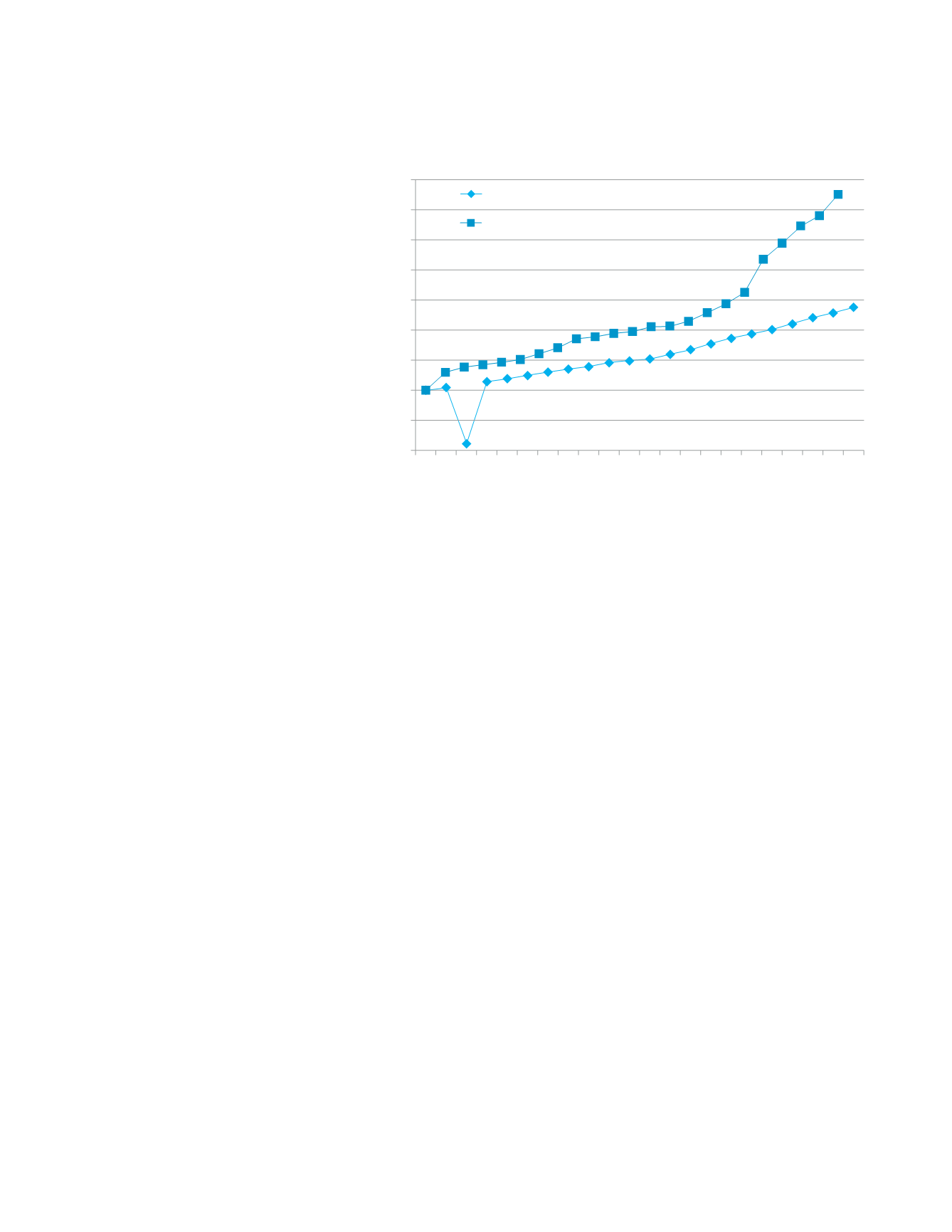
9. Viability of dairy farming
Milk production has been witnessing a
steady increase over the years. The price
of milk also registered a steady increase till
2005–06. Since 2006, the wholesale prices
of milk showed a markedly sharp increase.
Production’s response to the sharp increase
in prices has been muted and not pro-
portional. The average price increase per
annum in the twenty-one year period from
1992–93 and from 2013–14 was about 15.3
per cent whereas production registered an
increase of only 6.6 per cent. In the ten year
period between 2004 to 2014, milk prices
increased at an average of 16.1 per cent
per annum whereas production increased
by only 6.1 per cent. The lack of produc-
tion to increasing milk prices is perhaps
on account of uncertain viability of dairy
farming at farmers’ level, even at higher
prices of milk. Interactions at different lev-
els from individual farmers to small dairies
and financing institutions reveal that unless
well- managed and supported with linkages
of all kinds, dairy farming may not be remu-
nerative enough on a stand-alone basis.
Many dairy farmers find the prices being
paid for milk currently, to be unviable. Feed
cost which constitutes 60 per cent to 70
per cent of the cost of milk production has
been increasing. Labour cost also has been
increasing. Procurement prices have been
falling in some of the large milk-producing
states. With export-oriented milk process-
ing, the dairy farmers also experience the
vagaries of international trade. However,
reducing the herd size by culling less pro-
ductive animals is also not an easy option
due to the ban on beef and beef products.
Many farmers calculate the viability of
dairying on the basis of milk procurement
prices. If the value of manure and other
wastage utilised in farms is calculated, then
Figure 4.2: 
Trends in milk production and prices
Source:
Index of milk production based on Department of Animal Husbandry statistics. Whole
sale price index of milk based on WPI data of CSO.
0
50
100
150
200
250
300
350
400
450
1992–93
1993–94
1994–95
1995–96
1996–97
1997–98
1998–99
1999–2000
2000–01
2001–02
2002–03
2003–04
2004–05
2005–06
2006–07
2007–08
2008–09
2009–10
2010–11
2011–12
2012–13
2013–14
Index of milk production
WPI milk
1...,86,87,88,89,90,91,92,93,94,95 97,98,99,100,101,102,103,104,105,106,...204
Powered by FlippingBook