NABARD - Soil Report 2015 - page 30

Overview: Taking Stock
5
programmes have seen reduction in budget
in current terms and in real terms, the cuts
would be even more severe.
8
In case of
health, the allocations have been margin-
ally more than the previous year, but this
too in real term, may not amount to an
increased allocation of resources. From the
central government’s budget, the allocation
of resources for areas that directly support
livelihoods or strengthen livelihoods by sup-
porting other necessary activities has been
less than desired. The Centre for Budget
and Governance Accountability (CBGA)
in its budget analysis pointed out that, “The
reduced expenditures also throw light on the
lack of priority accorded to the social sector
commitments of the Union government.
The Union budget categorically states that
due to the higher devolution of taxes to the
states the Normal Central Assistance, Special
Plan Assistance, Special Central Assistance
and Additional Central Assistance for other
purposes are subsumed in the award itself.
Eight schemes have been discontinued and
some Centrally Sponsored Schemes would
be implemented with a changed pattern of
sharing of resources, with States to contrib-
ute higher share.” Given the current trends,
the estimates are that the overall spend on
rural and social sector by the Centre and
states will actually decline. Without the pres-
sure of tied funding, states might choose to
do their own thing rather than investing in
productive areas of the economy. However,
the promises are that the budgetary alloca-
tions would be used with much greater effi-
ciency on account of streamlined processes.
This is something that will be watched with
a great deal of interest.
Livelihoods in agriculture and allied
activities
Despite the changes in contribution of agri-
culture to GDP, a number of households
depend on agriculture for their livelihood.
The Economic Census found out that
30 per cent of rural households depended on
cultivation as their source of income. Fifty
one per cent depended onmanual labour and
they were both in agriculture and other types
of labour depending on seasonality andwork
availability. Thus, a large part of rural people
continue to depend on agriculture and allied
activities for their livelihoods. However, the
performance of agriculture has been lacklus-
tre. At the farm level, there were a number of
crops in which profitability was either low or
negative. Farming continued to be affected
by rising input costs and muted output
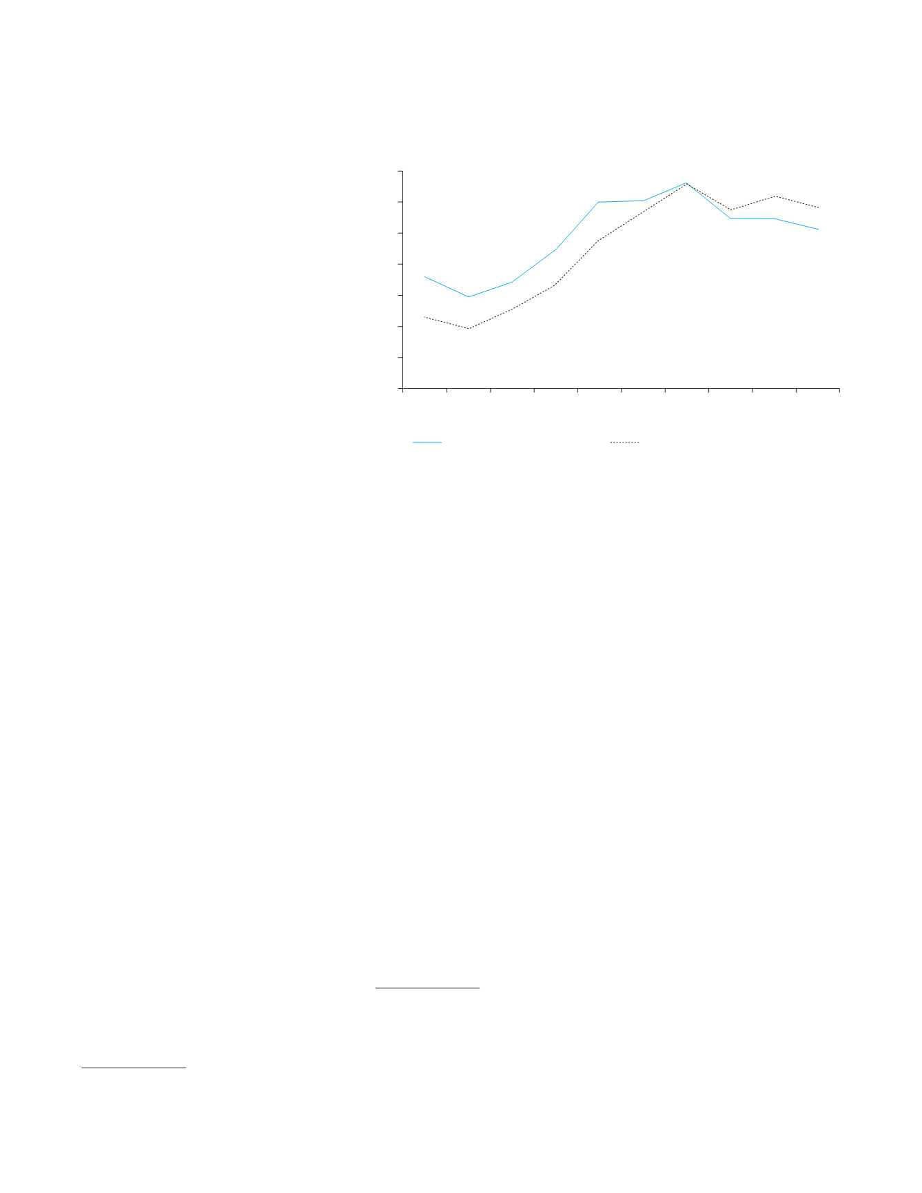
prices. The
Economic Survey
points out that
the index of terms of trade
9
in agriculture
(both between farmers and non-farmers,
agriculture and non-agriculture) which was
moving in favour of the farmers has reversed
the trend in the last four years (Figure 1.2).
Murthy and Misra (2012)
10
found
that the economics of paddy farming was
adverse in Andhra Pradesh (AP) over the
last few years. The increasing input costs
8
See Chapter 2 for a more detailed discussion on
this aspect.
Figure 1.2: 
Terms of trade in agriculture
Source: Economic Survey 2014–15
, Ministry of Finance, GoI.
70
2004
–05
2005
–06
ITT–farmer & non-farmer
ITT–agriculture & non-agriculture
2006
–07
2007
–08
2008
–09
2009
–10
2010
–11
2011
–12
2012
–13
2013
–14(P)
75
80
85
90
95
100
105
9
These are calculated as a proportion of the prices
received to prices paid. When prices received are more
than 100, then the terms of trade in the sector are
favourable for those who depend on it.
10
Pricing of Paddy, ACase Study of Andhra Pradesh
by R.V. Ramana Murthy, University of Hyderabad
and Rekha Misra, RBI, published by DEAP, RBI 2012.
1...,20,21,22,23,24,25,26,27,28,29 31,32,33,34,35,36,37,38,39,40,...204
Powered by FlippingBook